Официальное опубликование правовых актов
ОФИЦИАЛЬНОЕ ОПУБЛИКОВАНИЕ
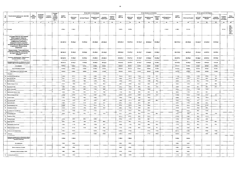
Постановление Правительства Белгородской области от 21.12.2020 № 568-пп
"Об утверждении пообъектного перечня строительства, реконструкции и капитального ремонта объектов социальной сферы и развития жилищно-коммунальной инфраструктуры Белгородской области на 2021-2023 годы"
Номер опубликования: 3100202012280001
Дата опубликования: 28.12.2020
Страница №55 из 59:
Увеличить