Официальное опубликование правовых актов
ОФИЦИАЛЬНОЕ ОПУБЛИКОВАНИЕ
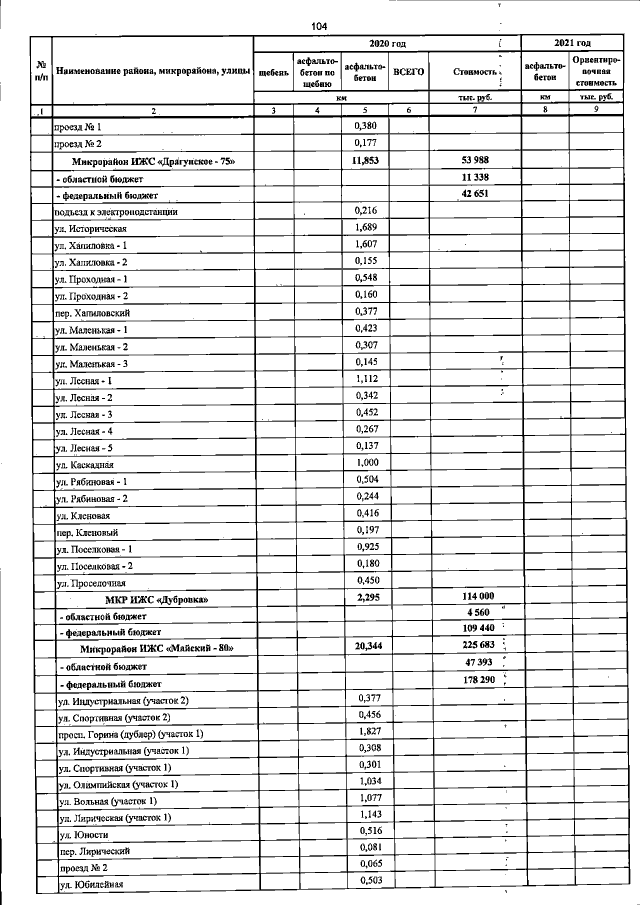
Постановление Правительства Белгородской области от 21.12.2020 № 546-пп
"О внесении изменений в постановление Правительства Белгородской области от 28 октября 2013 года № 440-пп"
Номер опубликования: 3100202012210005
Дата опубликования: 21.12.2020
Страница №104 из 113:
Увеличить