Официальное опубликование правовых актов
ОФИЦИАЛЬНОЕ ОПУБЛИКОВАНИЕ
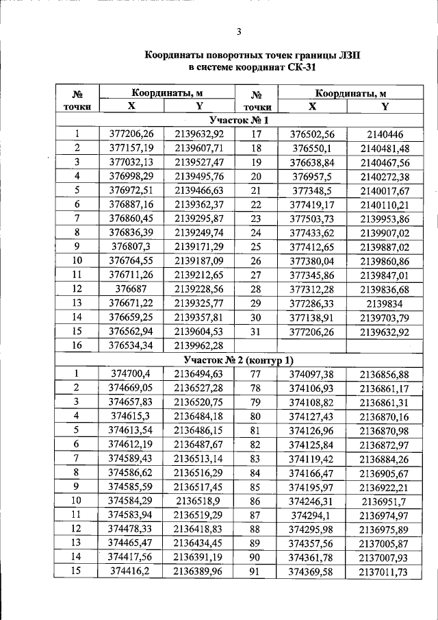
Постановление Правительства Белгородской области от 10.03.2020 № 72-пп
"Об установлении границ лесопаркового зеленого пояса, расположенного на территории города Шебекино Шебекинского городского округа Белгородской области"
Номер опубликования: 3100202003110003
Дата опубликования: 11.03.2020
Страница №3 из 10:
Увеличить