Официальное опубликование правовых актов
ОФИЦИАЛЬНОЕ ОПУБЛИКОВАНИЕ
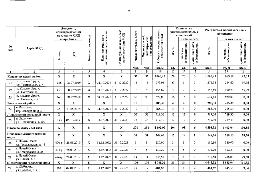
Постановление Правительства Белгородской области от 16.12.2019 № 555-пп
"О внесении изменений в постановление Правительства Белгородской области от 10 июня 2019 года № 248-пп"
Номер опубликования: 3100201912180003
Дата опубликования: 18.12.2019
Страница №9 из 17:
Увеличить