Официальное опубликование правовых актов
ОФИЦИАЛЬНОЕ ОПУБЛИКОВАНИЕ
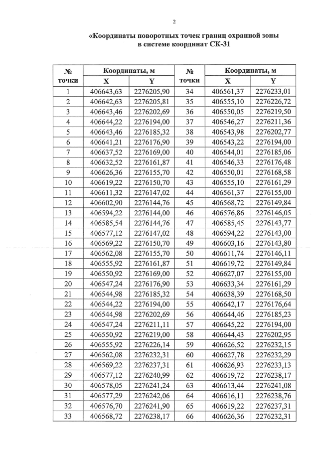
Постановление Губернатора Белгородской области от 04.12.2019 № 85
"О внесении изменений в постановление Губернатора Белгородской области от 29 декабря 2018 года № 145"
Номер опубликования: 3100201912050003
Дата опубликования: 05.12.2019
Страница №2 из 3:
Увеличить