Официальное опубликование правовых актов
ОФИЦИАЛЬНОЕ ОПУБЛИКОВАНИЕ
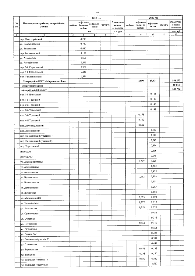
Постановление Правительства Белгородской области от 30.09.2019 № 403-пп
"О внесении изменений в постановление Правительства Белгородской области от 28 октября 2013 года № 440-пп"
Номер опубликования: 3100201910020010
Дата опубликования: 02.10.2019
Страница №103 из 110:
Увеличить