Официальное опубликование правовых актов
ОФИЦИАЛЬНОЕ ОПУБЛИКОВАНИЕ
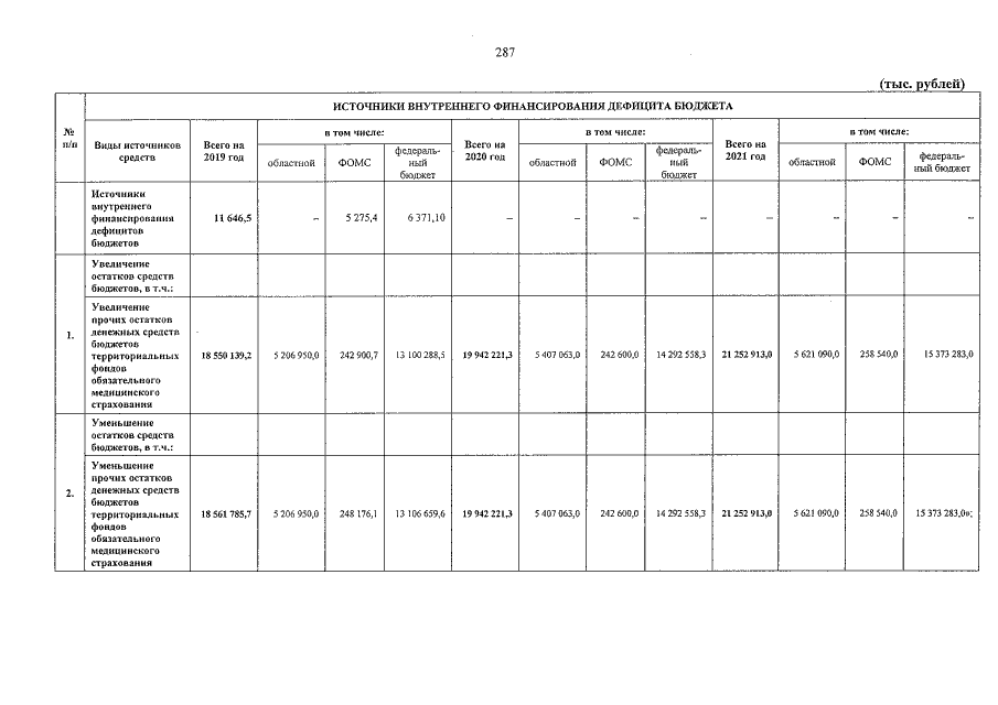
Закон Белгородской области от 12.09.2019 № 395
"О внесении изменений в закон Белгородской области "Об областном бюджете на 2019 год и на плановый период 2020 и 2021 годов"
Номер опубликования: 3100201909130004
Дата опубликования: 13.09.2019
Страница №287 из 333:
Увеличить