Официальное опубликование правовых актов
ОФИЦИАЛЬНОЕ ОПУБЛИКОВАНИЕ
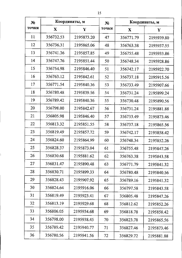
Постановление Губернатора Белгородской области от 28.12.2018 № 144
"О создании охранных зон особо охраняемых природных территорий регионального значения и утверждении Положений об охранных зонах памятников природы регионального значения, расположенных на территории Валуйского городского округа Белгородской области"
Номер опубликования: 3100201812290026
Дата опубликования: 29.12.2018
Страница №15 из 41:
Увеличить