Официальное опубликование правовых актов
ОФИЦИАЛЬНОЕ ОПУБЛИКОВАНИЕ
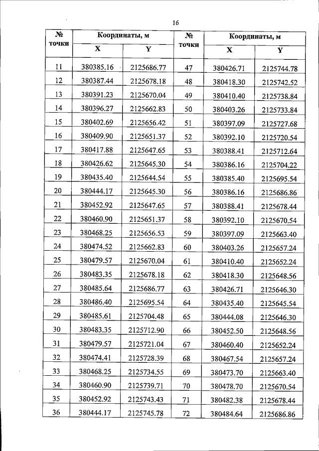
Постановление Губернатора Белгородской области от 28.12.2018 № 138
"О создании охранных зон особо охраняемых природных территорий регионального значения и утверждении Положений об охранных зонах памятников природы регионального значения, расположенных на территории Шебекинского городского округа Белгородской области"
Номер опубликования: 3100201812290022
Дата опубликования: 29.12.2018
Страница №16 из 29:
Увеличить