Официальное опубликование правовых актов
ОФИЦИАЛЬНОЕ ОПУБЛИКОВАНИЕ
Постановление Губернатора Белгородской области от 17.12.2018 № 121
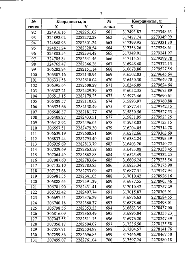
"О создании охранной зоны особо охраняемой природной территории регионального значения и утверждении Положения об охранной зоне природного парка регионального значения, расположенного на территории муниципального района "Ровеньский район" Белгородской области"
Номер опубликования: 3100201812190002
Дата опубликования: 19.12.2018
Страница №7 из 20:
Увеличить