Официальное опубликование правовых актов
ОФИЦИАЛЬНОЕ ОПУБЛИКОВАНИЕ
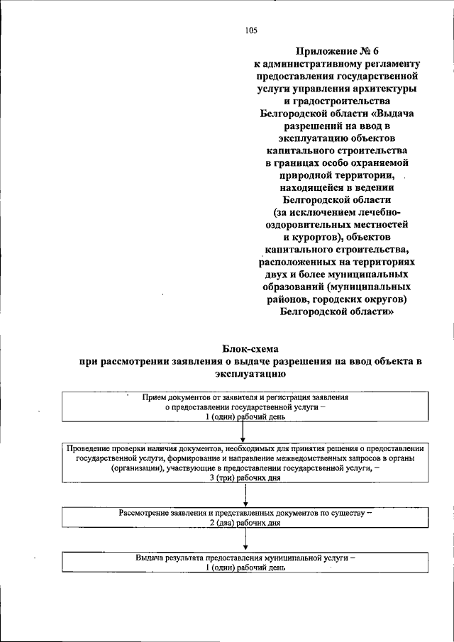
Постановление Правительства Белгородской области от 06.11.2018 № 414-пп
"Об утверждении административных регламентов предоставления государственных услуг управления архитектуры и градостроительства Белгородской области"
Номер опубликования: 3100201811120007
Дата опубликования: 12.11.2018
Страница №105 из 114:
Увеличить