Официальное опубликование правовых актов
ОФИЦИАЛЬНОЕ ОПУБЛИКОВАНИЕ
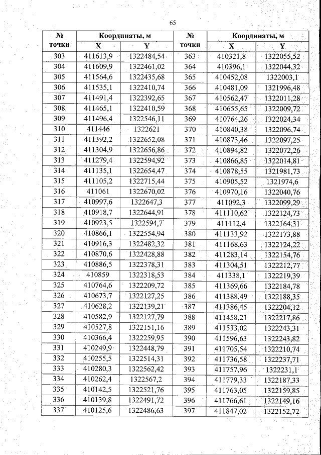
Постановление Правительства Белгородской области от 28.05.2018 № 182-пп
"Об утверждении Положений о государственных природных заказниках регионального значения Белгородской области"
Номер опубликования: 3100201805300004
Дата опубликования: 30.05.2018
Страница №65 из 1067:
Увеличить