Официальное опубликование правовых актов
ОФИЦИАЛЬНОЕ ОПУБЛИКОВАНИЕ
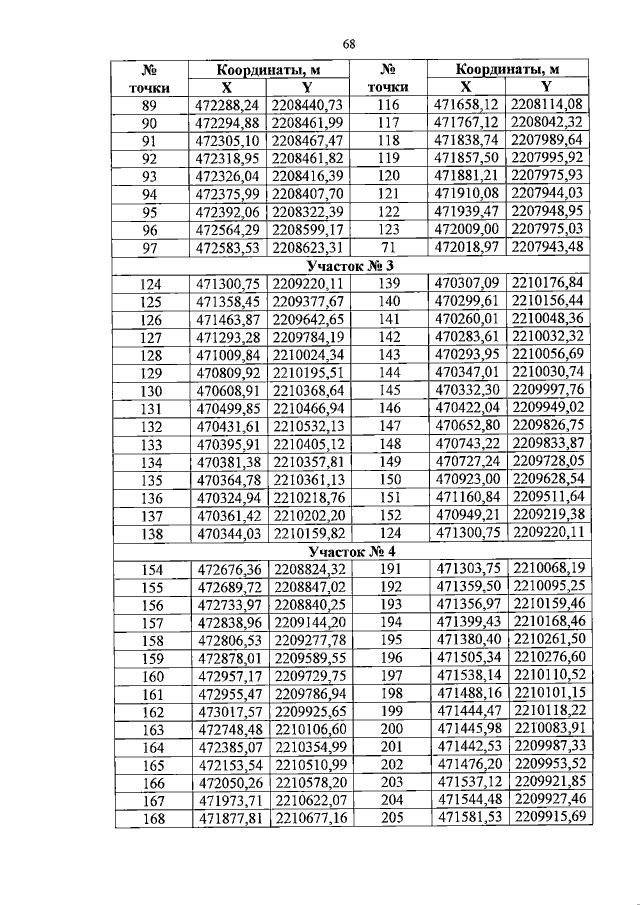
Постановление Правительства Белгородской области от 26.02.2018 № 55-пп
"Об утверждении Положений о природных парках регионального значения Белгородской области"
Номер опубликования: 3100201802280001
Дата опубликования: 28.02.2018
Страница №68 из 85:
Увеличить