Официальное опубликование правовых актов
ОФИЦИАЛЬНОЕ ОПУБЛИКОВАНИЕ
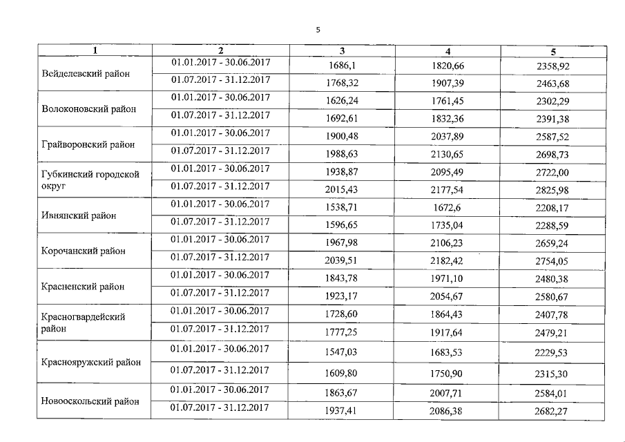
Постановление Правительства Белгородской области от 15.05.2017 № 156-пп
"Об утверждении региональных стандартов стоимости жилищно-коммунальных услуг по муниципальным образованиям Белгородской области на 2017 год"
Номер опубликования: 3100201705150002
Дата опубликования: 15.05.2017
Страница №5 из 17:
Увеличить