Официальное опубликование правовых актов
ОФИЦИАЛЬНОЕ ОПУБЛИКОВАНИЕ
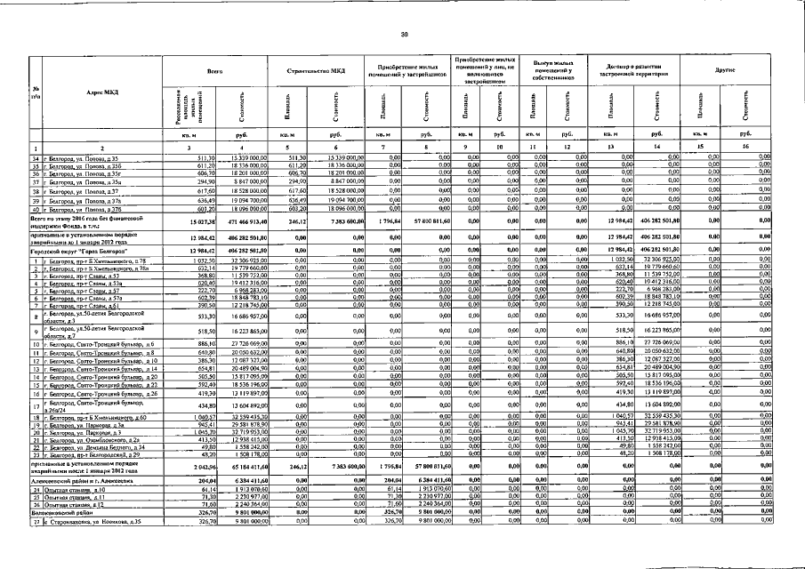
Постановление Правительства Белгородской области от 10.05.2016 № 146-пп
"О внесении изменений в постановление Правительства Белгородской области от 17 июня 2013 года № 248-пп"
Номер опубликования: 3100201605180012
Дата опубликования: 18.05.2016
Страница №39 из 43:
Увеличить