Официальное опубликование правовых актов
ОФИЦИАЛЬНОЕ ОПУБЛИКОВАНИЕ
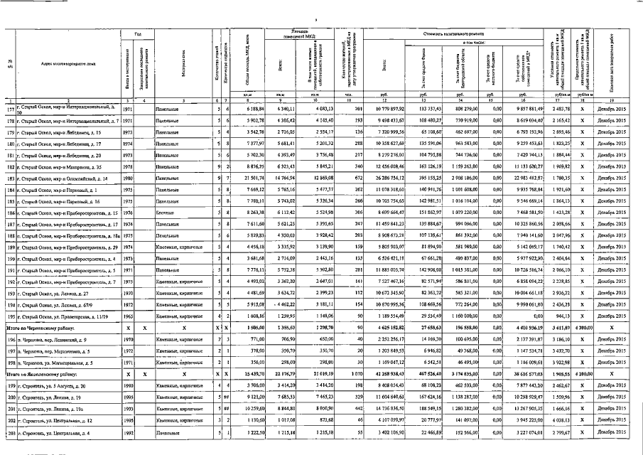
Постановление Правительства Белгородской области от 08.02.2016 № 36-пп
"О внесении изменений в постановление Правительства Белгородской области от 16 декабря 2014 года № 456-пп"
Номер опубликования: 3100201602160001
Дата опубликования: 16.02.2016
Страница №9 из 17:
Увеличить