Официальное опубликование правовых актов
ОФИЦИАЛЬНОЕ ОПУБЛИКОВАНИЕ
Постановление Правительства Белгородской области от 01.02.2016 № 27-пп
"О внесении изменений в постановление Правительства Белгородской области от 16 декабря 2013 года № 524-пп"
Номер опубликования: 3100201602040008
Дата опубликования: 04.02.2016
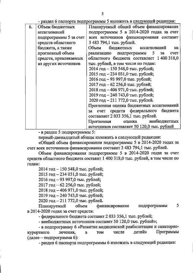
Страница №5 из 96:
Увеличить