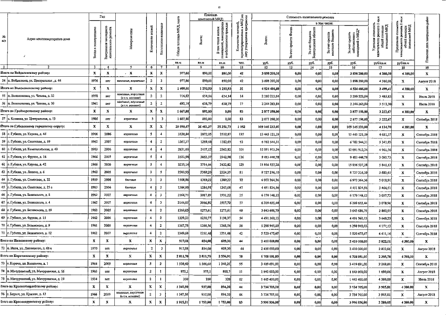
Постановление Правительства Белгородской области от 01.02.2016 № 25-пп
"Об утверждении плана реализации в 2016-2018 годах адресной программы проведения капитального ремонта общего имущества в многоквартирных домах в Белгородской области на 2015-2044 годы"
"Об утверждении плана реализации в 2016-2018 годах адресной программы проведения капитального ремонта общего имущества в многоквартирных домах в Белгородской области на 2015-2044 годы"
Номер опубликования: 3100201602040002
Дата опубликования:
04.02.2016
