Официальное опубликование правовых актов
ОФИЦИАЛЬНОЕ ОПУБЛИКОВАНИЕ
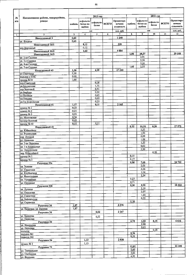
Постановление Правительства Белгородской области от 07.09.2015 № 334-пп
"О внесении изменений в постановление Правительства области от 28 октября 2013 года № 440-пп"
Номер опубликования: 3100201509140004
Дата опубликования: 14.09.2015
Страница №56 из 67:
Увеличить