Официальное опубликование правовых актов
ОФИЦИАЛЬНОЕ ОПУБЛИКОВАНИЕ
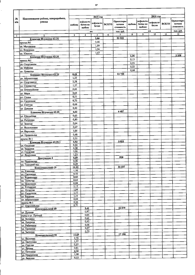
Постановление Правительства Белгородской области от 10.08.2015 № 299-пп
"О внесении изменений в постановление Правительства области от 28 октября 2013 года № 440-пп"
Номер опубликования: 3100201508130010
Дата опубликования: 13.08.2015
Страница №57 из 66:
Увеличить