Официальное опубликование правовых актов
ОФИЦИАЛЬНОЕ ОПУБЛИКОВАНИЕ
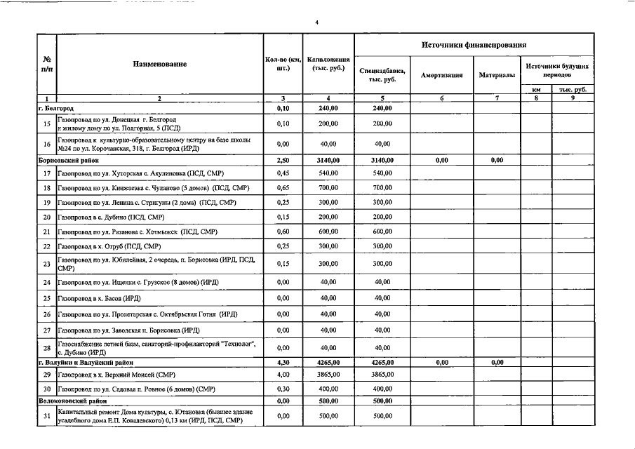
Постановление Правительства Белгородской области от 10.08.2015 № 294-пп
"О внесении изменений в постановление Правительства области от 02 февраля 2015 года № 29-пп"
Номер опубликования: 3100201508130009
Дата опубликования: 13.08.2015
Страница №4 из 17:
Увеличить