Постановление Правительства Белгородской области от 23.03.2015 № 113-пп
"Об утверждении пообъектного перечня мероприятий по инженерному обустройству микрорайонов массовой застройки индивидуального жилищного строительства в Белгородской области, в том числе земельных участков, выданных многодетным семьям, на 2015 год и внесении изменений в постановление Правительства области от 28 октября 2013 года № 441-пп"
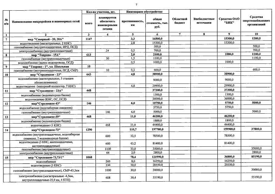
"Об утверждении пообъектного перечня мероприятий по инженерному обустройству микрорайонов массовой застройки индивидуального жилищного строительства в Белгородской области, в том числе земельных участков, выданных многодетным семьям, на 2015 год и внесении изменений в постановление Правительства области от 28 октября 2013 года № 441-пп"
Номер опубликования: 3100201503300002
Дата опубликования:
30.03.2015
