Официальное опубликование правовых актов
ОФИЦИАЛЬНОЕ ОПУБЛИКОВАНИЕ
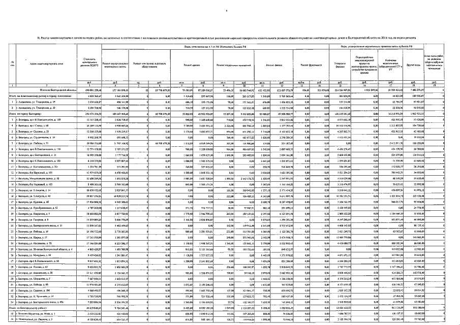
Постановление Правительства Белгородской области от 02.02.2015 № 33-пп
"О внесении изменений в постановление Правительства Белгородской области от 12 мая 2014 года № 178-пп"
Номер опубликования: 3100201502090004
Дата опубликования: 09.02.2015
Страница №8 из 12:
Увеличить