Официальное опубликование правовых актов
ОФИЦИАЛЬНОЕ ОПУБЛИКОВАНИЕ
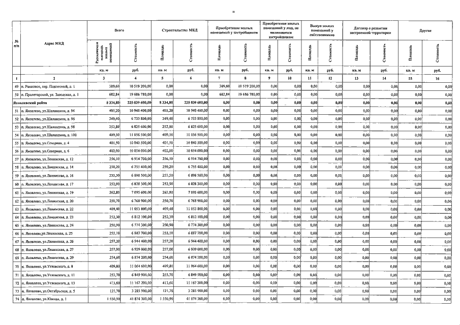
Постановление Правительства Белгородской области от 02.02.2015 № 34-пп
"О внесении изменений в постановление Правительства Белгородской области от 17 июня 2013 года № 248-пп"
Номер опубликования: 3100201502090002
Дата опубликования: 09.02.2015
Страница №36 из 46:
Увеличить