Официальное опубликование правовых актов
ОФИЦИАЛЬНОЕ ОПУБЛИКОВАНИЕ
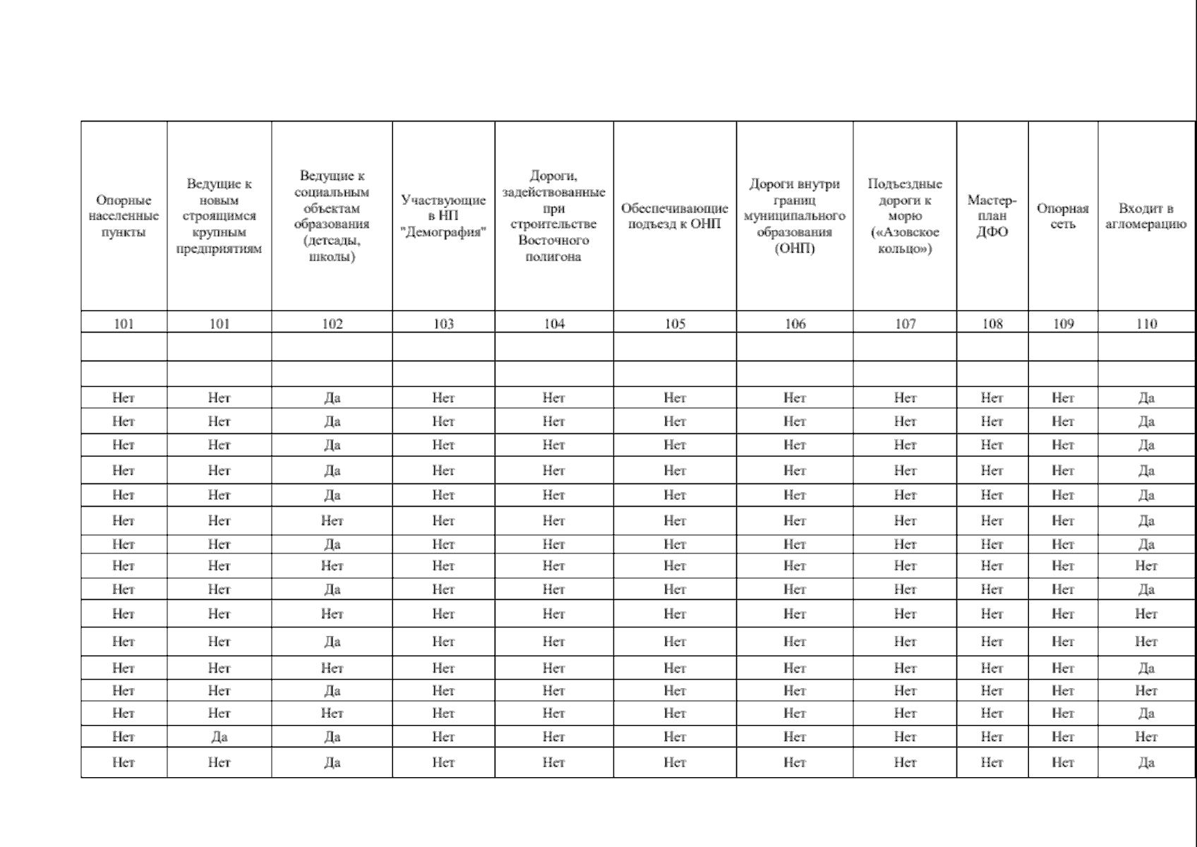
Постановление Министерства транспорта и дорожной инфраструктуры Астраханской области от 26.05.2025 № 3-П
"Об утверждении программы (плана) дорожной деятельности Астраханской области на 2025 - 2030 годы"
(Зарегистрирован 26.05.2025 № 103/25/3-П)
Номер опубликования: 3001202506030002
Дата опубликования: 03.06.2025
Страница №383 из 387:
Увеличить