Официальное опубликование правовых актов
ОФИЦИАЛЬНОЕ ОПУБЛИКОВАНИЕ
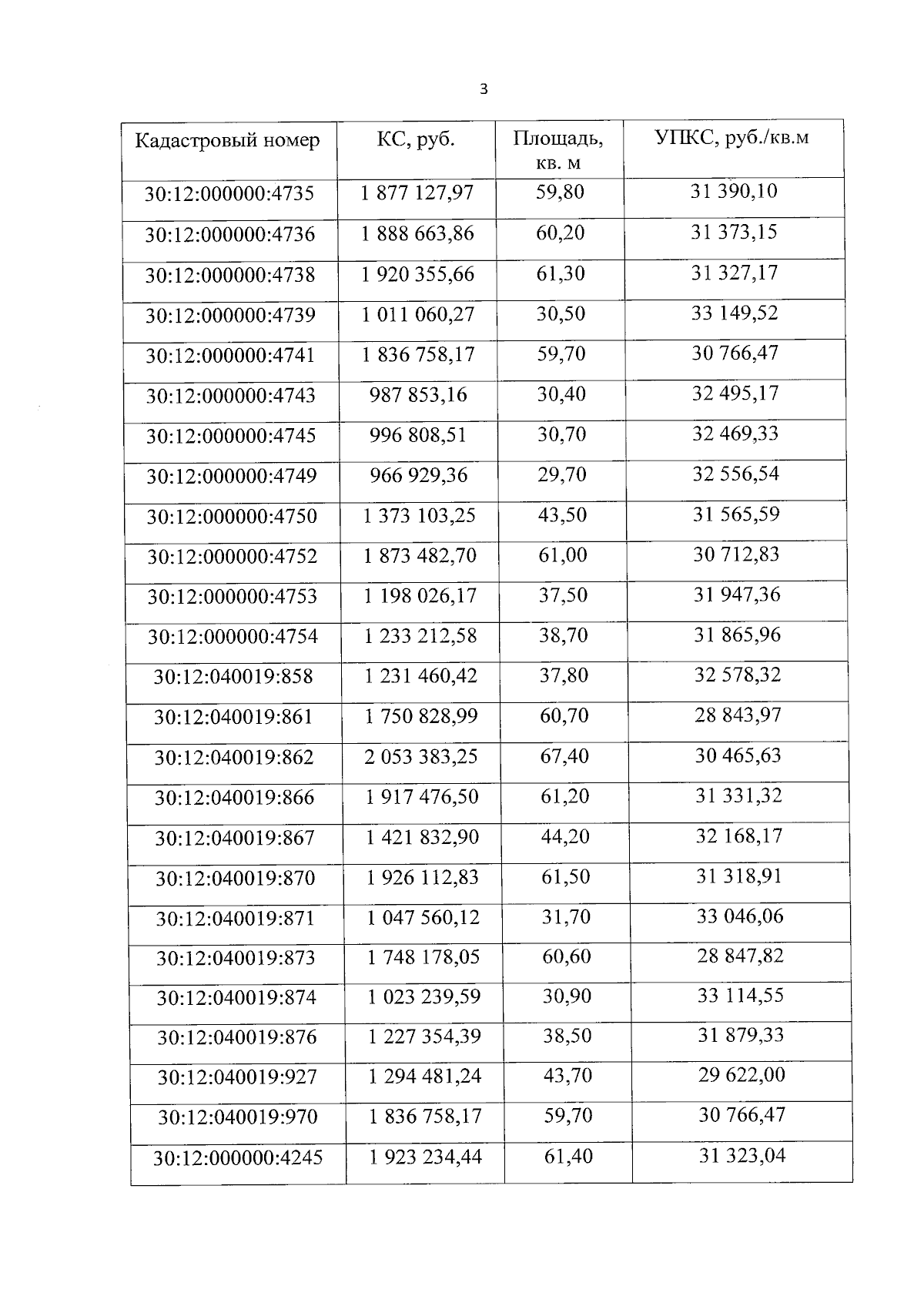
Постановление Министерства имущественных и градостроительных отношений Астраханской области от 30.04.2025 № 40
"О внесении изменений в постановление министерства имущественных и градостроительных отношений Астраханской области от 17.11.2023 № 71"
(Зарегистрирован 30.04.2025 № 114/25/40)
Номер опубликования: 3001202505070010
Дата опубликования: 07.05.2025
Страница №5 из 6:
Увеличить