Официальное опубликование правовых актов
ОФИЦИАЛЬНОЕ ОПУБЛИКОВАНИЕ
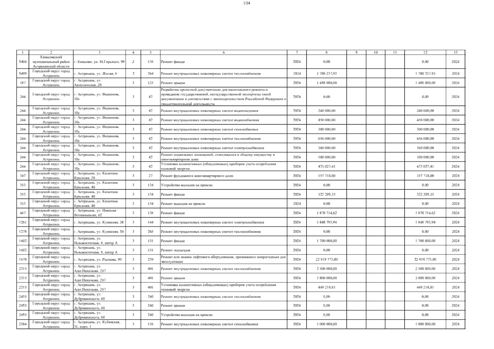
Постановление Министерства строительства и жилищно-коммунального хозяйства Астраханской области от 10.04.2025 № 11
"О внесении изменений в постановление министерства строительства и жилищно-коммунального хозяйства Астраханской области от 26.12.2023 № 32"
(Зарегистрирован 10.04.2025 № 110/25/11)
Номер опубликования: 3001202504170010
Дата опубликования: 17.04.2025
Страница №107 из 557:
Увеличить