Официальное опубликование правовых актов
ОФИЦИАЛЬНОЕ ОПУБЛИКОВАНИЕ
Постановление Министерства социального развития и труда Астраханской области от 16.10.2023 № 53
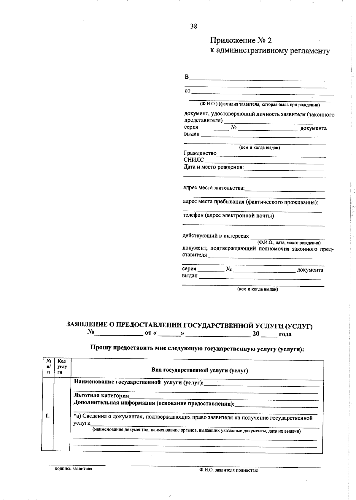
"Об административном регламенте государственных казенных учреждений Астраханской области – центров социальной поддержки населения муниципальных районов, центров социальной поддержки населения районов города Астрахани, центра социальной поддержки населения закрытого административно-территориального образования Знаменск, подведомственных министерству социального развития и труда Астраханской области, предоставления государственной услуги "Предоставление денежной компенсации части стоимости обучения детей из многодетных семей по образовательным программам среднего профессионального образования по очной форме обучения в образовательных организациях, расположенных на территории Астраханской области"
(Зарегистрирован 16.10.2023 № 109/23/53)
Номер опубликования: 3001202310190005
Дата опубликования: 19.10.2023
Страница №38 из 45:
Увеличить