Официальное опубликование правовых актов
ОФИЦИАЛЬНОЕ ОПУБЛИКОВАНИЕ
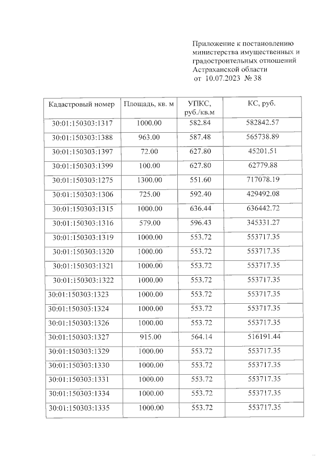
Постановление Министерства имущественных и градостроительных отношений Астраханской области от 10.07.2023 № 38
"О внесении изменений в постановление министерства имущественных и градостроительных отношений Астраханской области от 17.11.2022 № 21"
(Зарегистрирован 10.07.2023 № 114/23/38)
Номер опубликования: 3001202307130006
Дата опубликования: 13.07.2023
Страница №3 из 5:
Увеличить