Официальное опубликование правовых актов
ОФИЦИАЛЬНОЕ ОПУБЛИКОВАНИЕ
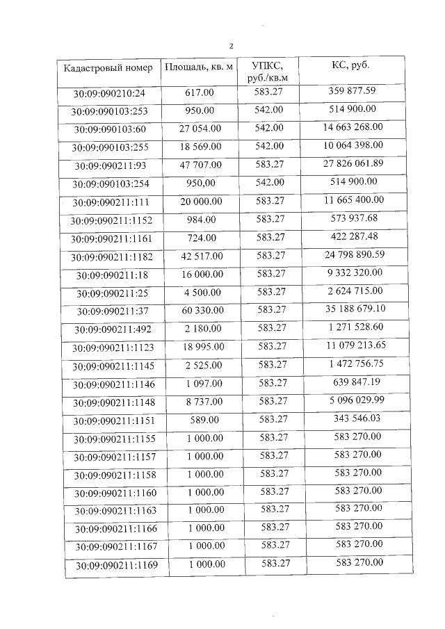
Постановление Министерства имущественных и градостроительных отношений Астраханской области от 29.03.2023 № 17
"О внесении изменений в постановление министерства имущественных и градостроительных отношений Астраханской области от 17.11.2022 № 21"
(Зарегистрирован 29.03.2023 № 114/23/17)
Номер опубликования: 3001202304060012
Дата опубликования: 06.04.2023
Страница №4 из 8:
Увеличить