Официальное опубликование правовых актов
ОФИЦИАЛЬНОЕ ОПУБЛИКОВАНИЕ
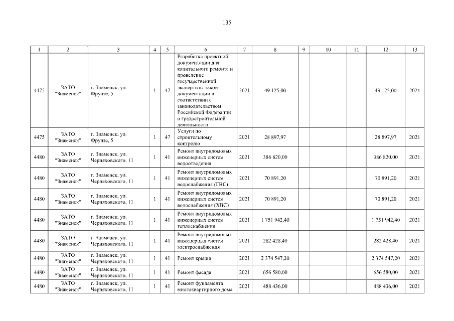
Постановление Министерства строительства и жилищно-коммунального хозяйства Астраханской области от 27.02.2023 № 9
"О внесении изменений в постановление министерства строительства и жилищно-коммунального хозяйства Астраханской области от 30.11.2020 № 35"
(Зарегистрирован 27.02.2023 № 110/23/9)
Номер опубликования: 3001202303030001
Дата опубликования: 03.03.2023
Страница №138 из 651:
Увеличить