Официальное опубликование правовых актов
ОФИЦИАЛЬНОЕ ОПУБЛИКОВАНИЕ
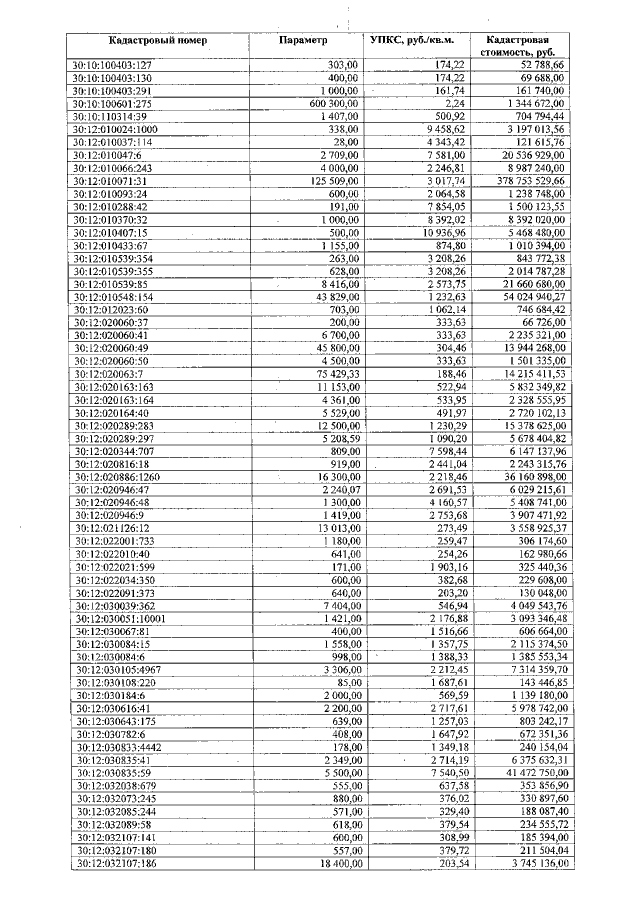
Постановление Министерства имущественных и градостроительных отношений Астраханской области от 26.12.2022 № 33
"О внесении изменений в постановление министерства имущественных и градостроительных отношений Астраханской области от 17.11.2022 № 21"
Номер опубликования: 3001202212280010
Дата опубликования: 28.12.2022
Страница №11 из 12:
Увеличить