Официальное опубликование правовых актов
ОФИЦИАЛЬНОЕ ОПУБЛИКОВАНИЕ
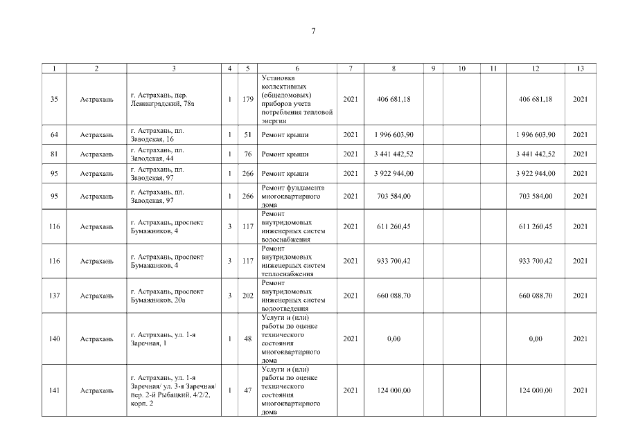
Постановление Министерства строительства и жилищно-коммунального хозяйства Астраханской области от 25.04.2022 № 6
"О внесении изменений в постановление министерства строительства и жилищно-коммунального хозяйства Астраханской области от 30.11.2020 № 35"
Номер опубликования: 3001202204280002
Дата опубликования: 28.04.2022
Страница №7 из 397:
Увеличить