Официальное опубликование правовых актов
ОФИЦИАЛЬНОЕ ОПУБЛИКОВАНИЕ
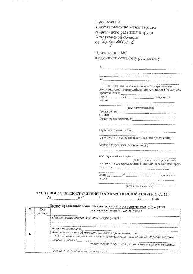
Постановление Министерства социального развития и труда Астраханской области от 10.01.2022 № 1
"О внесении изменений в постановления министерства социального развития и труда Астраханской области"
Номер опубликования: 3001202201180001
Дата опубликования: 18.01.2022
Страница №28 из 32:
Увеличить