Официальное опубликование правовых актов
ОФИЦИАЛЬНОЕ ОПУБЛИКОВАНИЕ
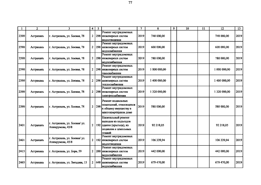
Постановление Министерства строительства и жилищно-коммунального хозяйства Астраханской области от 10.08.2021 № 19
"О внесении изменений в постановление министерства строительства и жилищно-коммунального хозяйства Астраханской области от 09.11.2017 № 42"
Номер опубликования: 3001202108160002
Дата опубликования: 16.08.2021
Страница №79 из 193:
Увеличить