Официальное опубликование правовых актов
ОФИЦИАЛЬНОЕ ОПУБЛИКОВАНИЕ
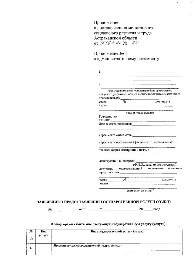
Постановление Министерства социального развития и труда Астраханской области от 18.06.2021 № 30
"О внесении изменений в постановление министерства социального развития и труда Астраханской области от 19.04.2018 № 33"
Номер опубликования: 3001202106240002
Дата опубликования: 24.06.2021
Страница №6 из 11:
Увеличить