Официальное опубликование правовых актов
ОФИЦИАЛЬНОЕ ОПУБЛИКОВАНИЕ
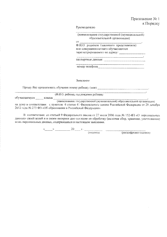
Постановление Министерства образования и науки Астраханской области от 18.05.2020 № 17
"О внесении изменения в постановление министерства образования и науки Астраханской области от 03.03.2014 № 11"
Номер опубликования: 3001202005220001
Дата опубликования: 22.05.2020
Страница №10 из 11:
Увеличить