Официальное опубликование правовых актов
ОФИЦИАЛЬНОЕ ОПУБЛИКОВАНИЕ
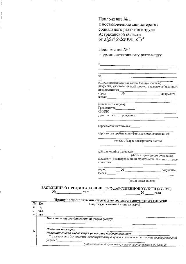
Постановление Министерства социального развития и труда Астраханской области от 09.09.2019 № 58
"О внесении изменений в постановление министерства социального развития и труда Астраханской области от 07.06.2018 №48"
Номер опубликования: 3001201909120003
Дата опубликования: 12.09.2019
Страница №28 из 43:
Увеличить