Официальное опубликование правовых актов
ОФИЦИАЛЬНОЕ ОПУБЛИКОВАНИЕ
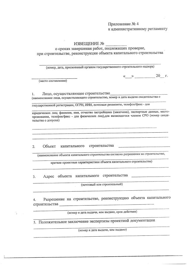
Постановление Службы строительного надзора Астраханской области от 08.08.2019 № 5-П
"Об административном регламенте службы строительного надзора Астраханской области осуществления регионального государственного строительного надзора в случаях, предусмотренных Градостроительным кодексом Российской Федерации"
Номер опубликования: 3001201908150005
Дата опубликования: 15.08.2019
Страница №55 из 82:
Увеличить