Официальное опубликование правовых актов
ОФИЦИАЛЬНОЕ ОПУБЛИКОВАНИЕ
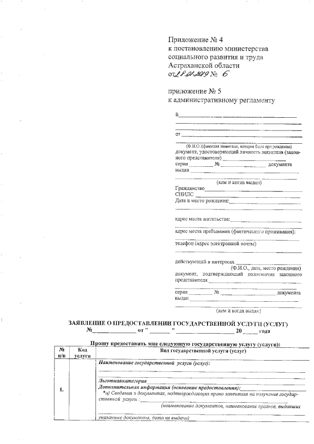
Постановление Министерства социального развития и труда Астраханской области от 28.01.2019 № 6
"О внесении изменений в постановления министерства социального развития и труда Астраханской области"
Номер опубликования: 3001201901310001
Дата опубликования: 31.01.2019
Страница №53 из 65:
Увеличить