Официальное опубликование правовых актов
ОФИЦИАЛЬНОЕ ОПУБЛИКОВАНИЕ
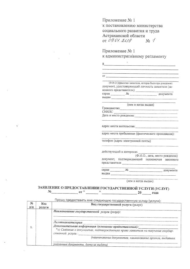
Постановление Министерства социального развития и труда Астраханской области от 09.01.2019 № 1
"О внесении изменений в постановление министерства социального развития и труда Астраханской области от 01.08.2018 №67"
Номер опубликования: 3001201901170007
Дата опубликования: 17.01.2019
Страница №7 из 19:
Увеличить