Официальное опубликование правовых актов
ОФИЦИАЛЬНОЕ ОПУБЛИКОВАНИЕ
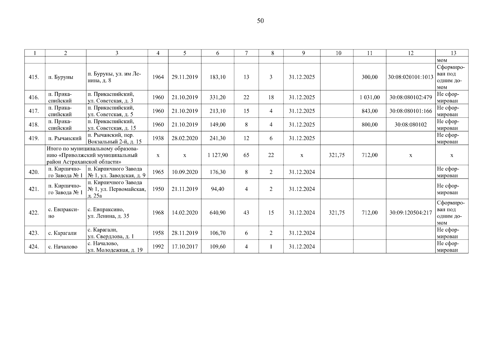
Постановление Правительства Астраханской области от 27.03.2026 № 99-П
"О региональной адресной программе Астраханской области по переселению граждан из аварийного жилищного фонда, признанного таковым с 1 января 2017 года"
Номер опубликования: 3000202603270004
Дата опубликования: 27.03.2026
Страница №51 из 64:
Увеличить