Официальное опубликование правовых актов
ОФИЦИАЛЬНОЕ ОПУБЛИКОВАНИЕ
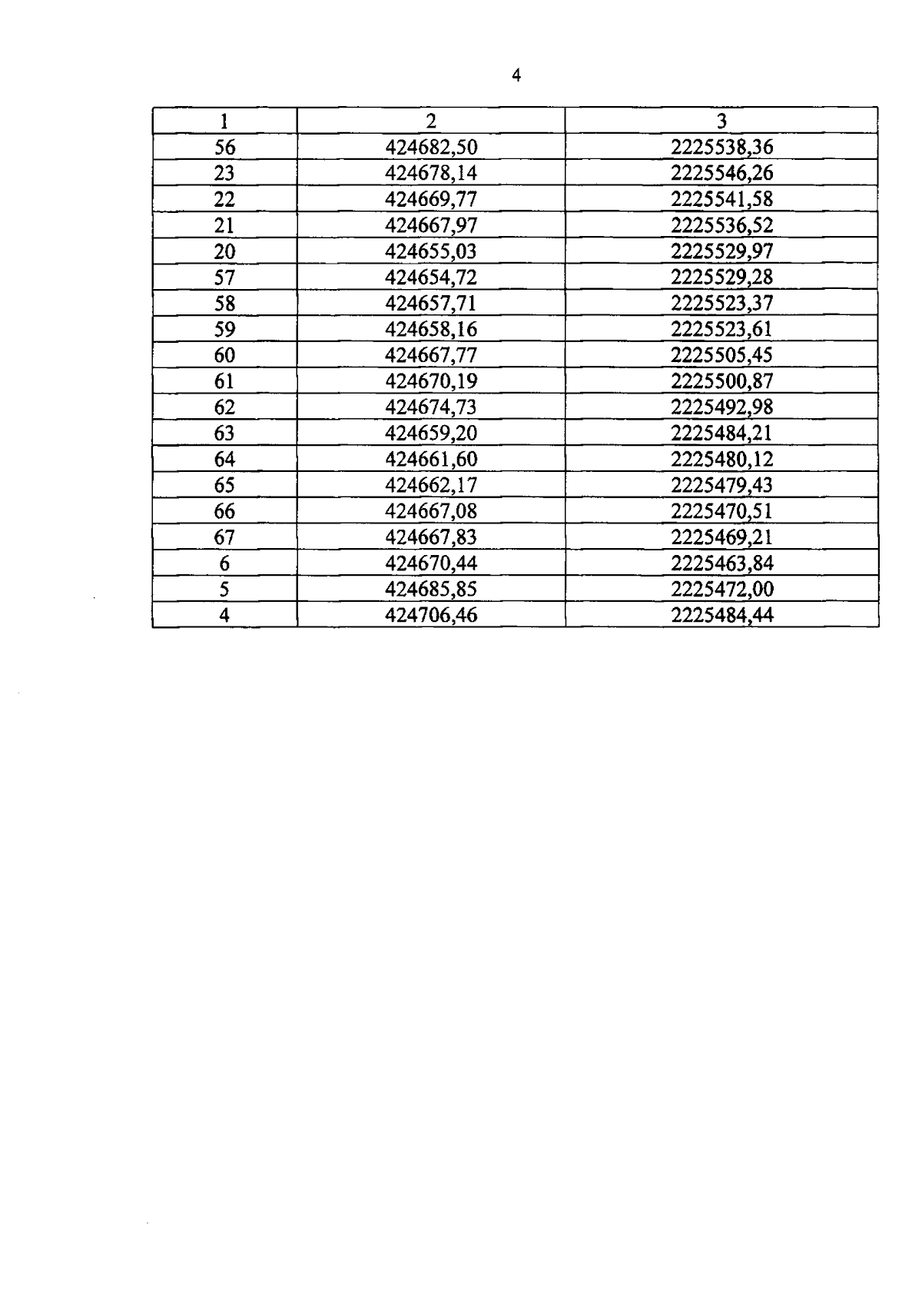
Распоряжение Правительства Астраханской области от 13.02.2026 № 44-Пр
"Об установлении зоны охраны объекта культурного наследия регионального значения "Ансамбль церкви апостолов Петра и Павла", 1908 г.", расположенного по адресу: Астраханская область, г. Астрахань, ул. К. Цеткин, 6, ул. Агрономическая, 7, 9, 11, ул. Войкова, 1, 4, ул. Трудфронта, 39 (Лит. "А", "А", ограда), и утверждении требований к градостроительным регламентам в границах данной зоны"
Номер опубликования: 3000202602170010
Дата опубликования: 17.02.2026
Страница №11 из 18:
Увеличить