Официальное опубликование правовых актов
ОФИЦИАЛЬНОЕ ОПУБЛИКОВАНИЕ
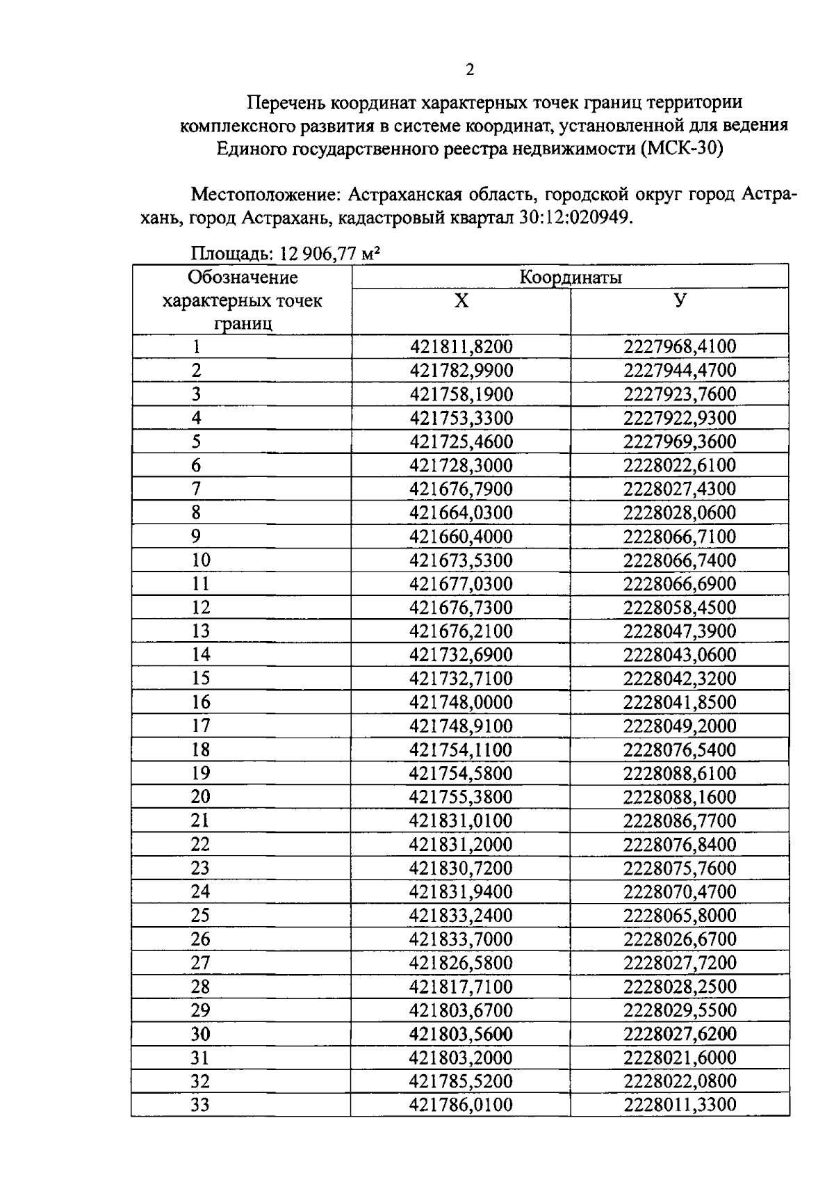
Постановление Правительства Астраханской области от 05.02.2026 № 20-П
"О комплексном развитии незастроенной территории в районе улицы Украинской в Ленинском районе города Астрахани"
Номер опубликования: 3000202602050007
Дата опубликования: 05.02.2026
Страница №4 из 11:
Увеличить