Официальное опубликование правовых актов
ОФИЦИАЛЬНОЕ ОПУБЛИКОВАНИЕ
Постановление Правительства Астраханской области от 30.12.2025 № 892-П
"О внесении изменений в постановление Правительства Астраханской области от 13.09.2023 № 538-П"
Номер опубликования: 3000202512310029
Дата опубликования: 31.12.2025
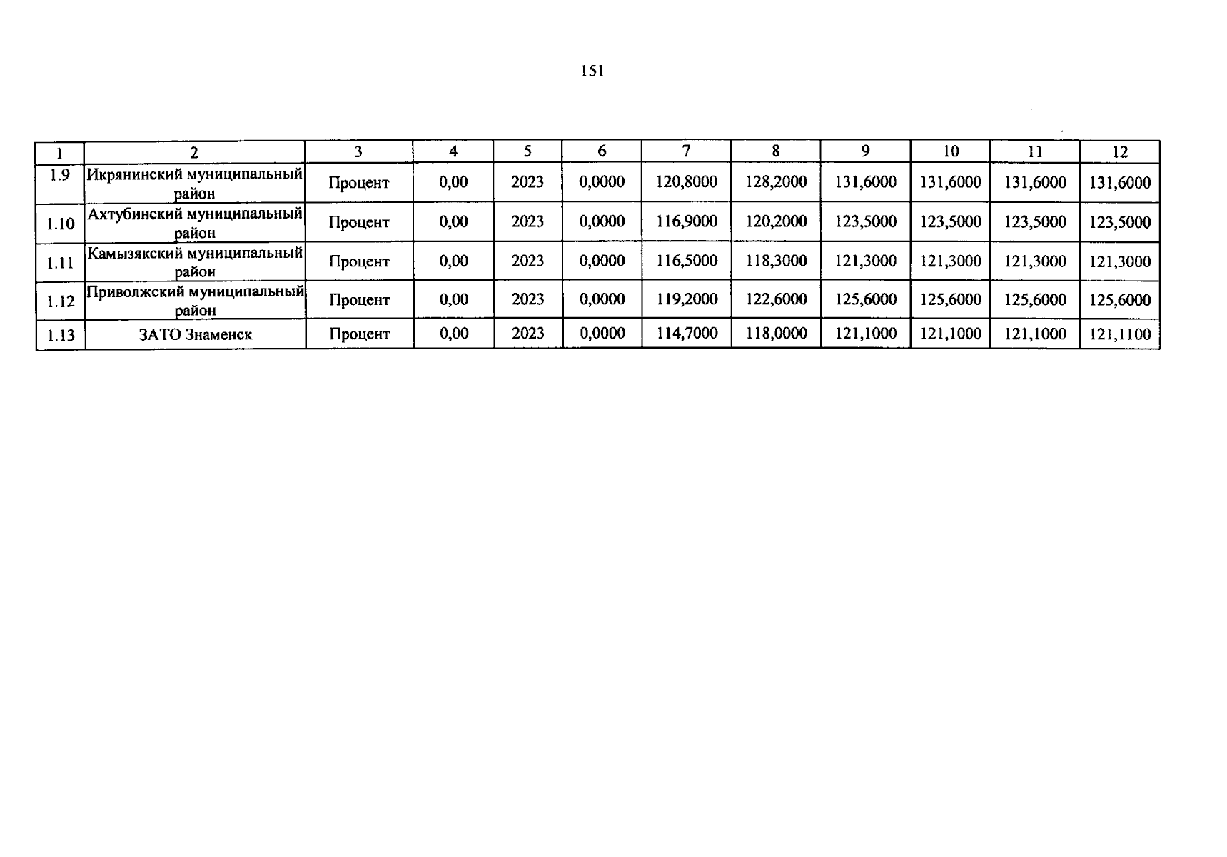
Страница №163 из 395:
Увеличить