Официальное опубликование правовых актов
ОФИЦИАЛЬНОЕ ОПУБЛИКОВАНИЕ
Постановление Правительства Астраханской области от 24.12.2025 № 826-П
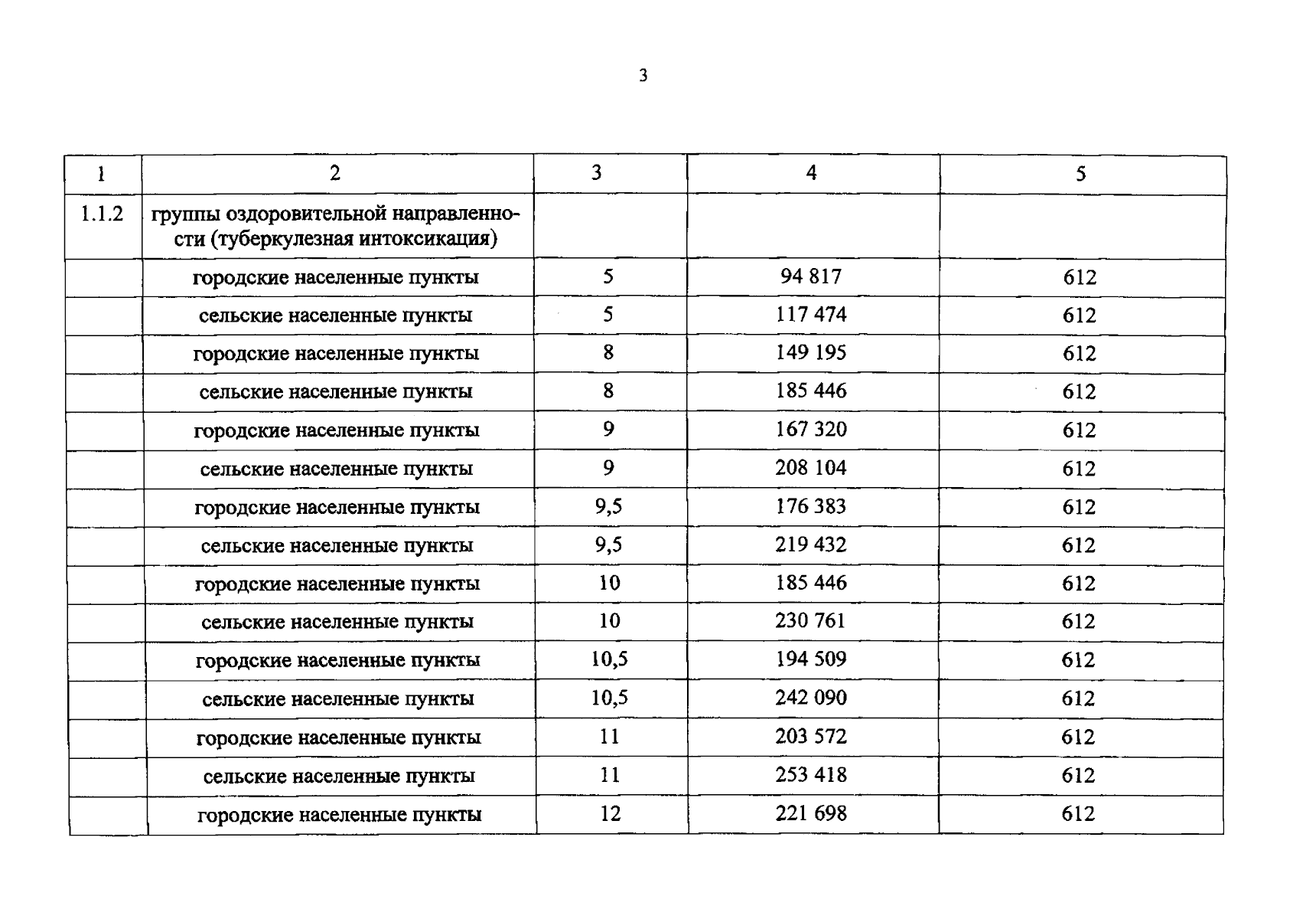
"О нормативах финансового обеспечения на выполнение государственных гарантий реализации прав граждан на получение общедоступного и бесплатного дошкольного образования в муниципальных дошкольных образовательных организациях, общедоступного и бесплатного дошкольного, начального общего, основного общего, среднего общего образования в муниципальных общеобразовательных организациях, обеспечение дополнительного образования детей в муниципальных общеобразовательных организациях"
Номер опубликования: 3000202512300015
Дата опубликования: 30.12.2025
Страница №6 из 217:
Увеличить