Официальное опубликование правовых актов
ОФИЦИАЛЬНОЕ ОПУБЛИКОВАНИЕ
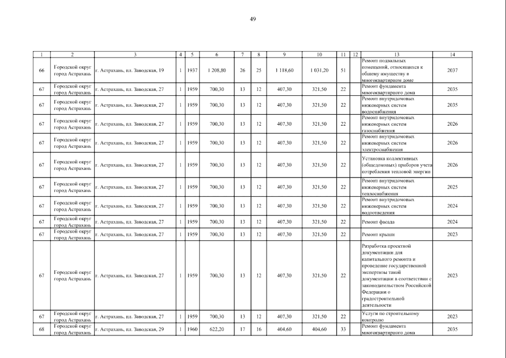
Постановление Правительства Астраханской области от 24.04.2025 № 248-П
"О внесении изменений в постановление Правительства Астраханской области от 15.12.2022 № 640-П"
Номер опубликования: 3000202504290007
Дата опубликования: 29.04.2025
Страница №51 из 4812:
Увеличить