Официальное опубликование правовых актов
ОФИЦИАЛЬНОЕ ОПУБЛИКОВАНИЕ
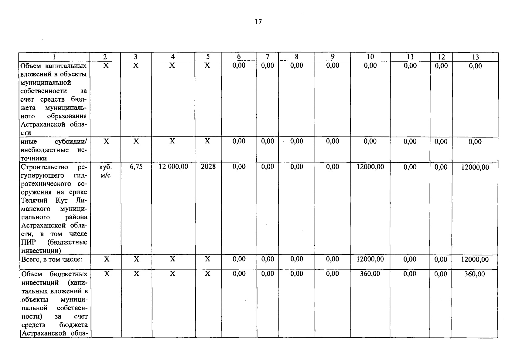
Постановление Правительства Астраханской области от 31.03.2025 № 180-П
"О внесении изменений в постановление Правительства Астраханской области от 03.10.2023 № 573-П"
Номер опубликования: 3000202504080010
Дата опубликования: 08.04.2025
Страница №280 из 318:
Увеличить