Официальное опубликование правовых актов
ОФИЦИАЛЬНОЕ ОПУБЛИКОВАНИЕ
Постановление Правительства Астраханской области от 24.03.2025 № 148-П
"О внесении изменений в постановление Правительства Астраханской области от 27.10.2023 № 623-П"
Номер опубликования: 3000202503270002
Дата опубликования: 27.03.2025
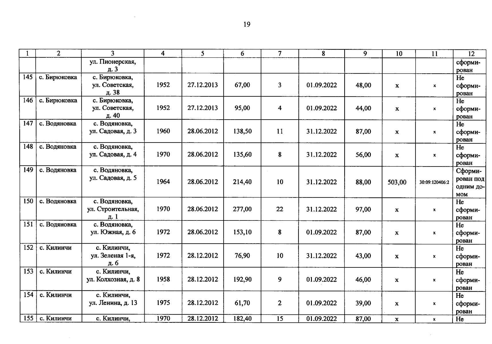
Страница №104 из 125:
Увеличить