Официальное опубликование правовых актов
ОФИЦИАЛЬНОЕ ОПУБЛИКОВАНИЕ
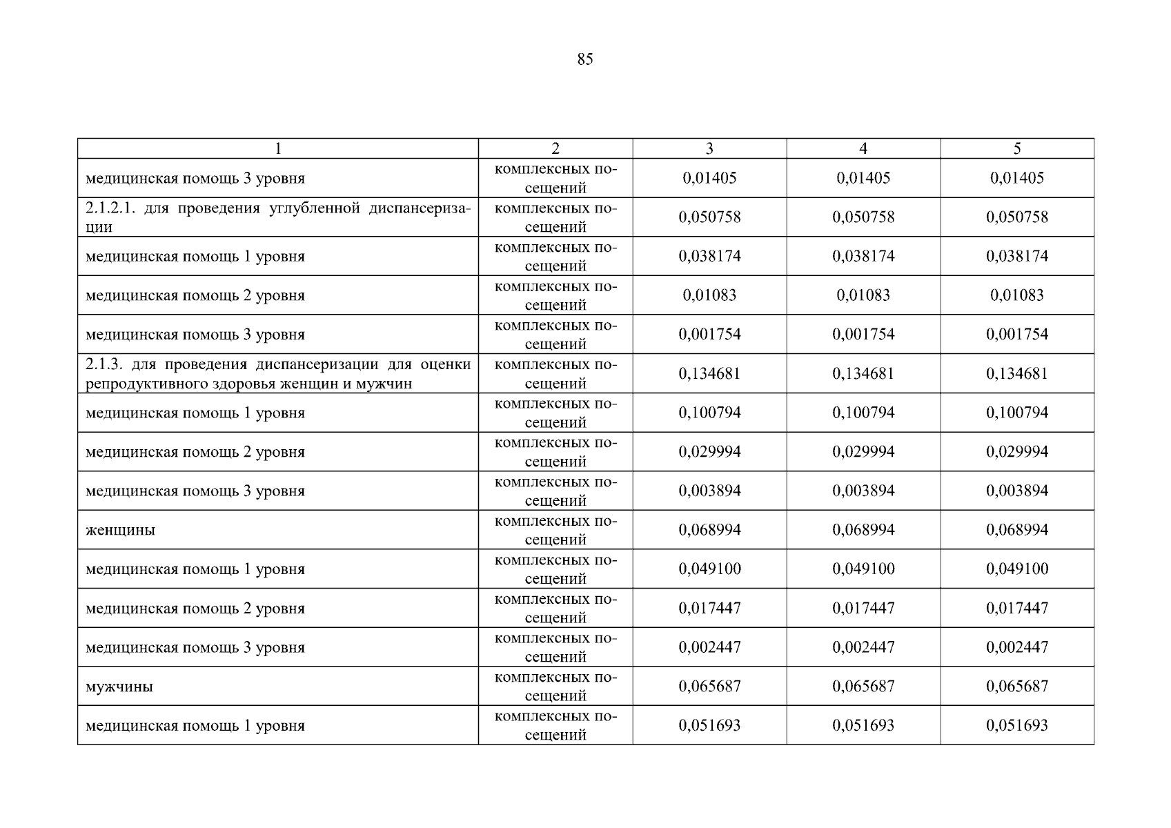
Постановление Правительства Астраханской области от 30.01.2025 № 41-П
"О Программе государственных гарантий бесплатного оказания гражданам медицинской помощи на территории Астраханской области на 2025 год и на плановый период 2026 и 2027 годов"
Номер опубликования: 3000202502030005
Дата опубликования: 03.02.2025
Страница №86 из 369:
Увеличить